|
5kV及以下绝缘管型母线技术标准 1、范围 本标准规定了额定电压35kV及以下绝缘管型母的定义。产品分类,技术要求,试验方法、检检规则标志,包装。运输、贮存。 本标准适用于圈定电压为35k以下等电压等级的地缘营母线。 2、规范性引用文件 下列文件中的条款通过本标准的引用而成为本标准的条款。凡是注日的引用文件,其随后所有的修改单(不包括题误的内容)或修订版均不遇用于本标准,然而。鼓励根据本标准达成协的各方研究是否可使用这些文件的最新版本。凡是不注日期的引用文件。其最新版本适用于本标准。 GB/T191包装储运图示标志 GB/T12706,4-2008颐定电压 1kv(Un=1.2kv)到35kV(Um=40.5kv)挤包绝缘电力电及时件:第4部分:定电压6k(Um=72k)到35kV(Um=40skv):电力电缆附件试验要求GB/T18889-2002顆定电压6k(Um=7.2kV)到35kv(Um=40.5kV)电力电缆附件试验方法。 3、定叉 以下定义造用于本标准 3.1绝缘管母线 用聚氟薄膜统包井加屏蔽层的绝缘管母线包括母线的中闻头和终端头 3.2绝缘管母线中间接头 安装在母纬间,以保证两根母线的电气连接。 3.3绝缘管母线终端头 安装在缘母线起始端,以保证博母线与系纯的部分电气连报。 3.4绝缘管母线伸缩节 安装在绝缘母线起始端,以保证管母线与系统的部分电气连接, 3.5绝缘管母线托架,支撑固定母线用
4.3 DTGMB绝缘管母线断面荜构图见图 型号: DTGME口/口 适应安装坏境:架空 5技术要求 5.1使用条件 5.1.1正常运行条件 a)环填温度-40℃-+45℃ b)最大日温差25℃ c)最大相对温度(最是月平均值,环境温度为+20):90% d)海拔高度:<1000m e)地震强度水平分量:0.25g:垂直分量:0.125g:频率:置动率20HZ耐受时间为正弦波:3周波;安全系数:大于167:上述水平分量按动态条件进行设计和试验,产晶保证在地震和短路同时怍用下正常运行. f)防污等级》Ⅳ级 9}屏酝地缘母线的附件长期工作温度。过载温度和允许短路电流温度,应满足第5.3和5.4条的要求 5.1.2异常运行条件 在以下异常运行条件,本标准的使用需经供需双方协商: 最高空气温度低于40%℃,成高于+50℃ 海高度过1000m: 长期运行在烈振动,污秽严重地区 5.2管型母线的热稳定和动稳定电流应符合表1的规定 表1培缘管型母线应承受热稳定和动稳定电流 额定电流(A) | 1250 2000 2500 3150 | 4000 5000 6300 8000 | 10000 12500 15000 20000 | 25000 3000 35000 40000 | 4秒钟热稳定电流有效值(KA)
| 40 | 63 | 80 | 100 | 动稳定电流峰值(KA) | 100 | 158 | 200 | 250 | 注:管型母线跨距有效距离为6m-13m,5000A以下相间中心距离2275mm
|
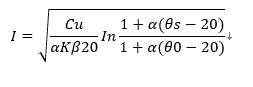
5.3绝缘管型母线的截面要求 正常运行时绝缘管型母线的允许温度和载流量: a)绝缘管型母线导体和长期允许工作温度不应超过90 b)绝缘管型母线正常运行时的长期允许载流量,应根据绝缘管型母线导体的工作温度,绝缘管型母线各部分的损耗和热阻,环境温度以及散热条件等加以计算确定。建义绝缘管型母线允许长期载流量:额定电流3150A以下的管型母线长期允许载流≤2.68A/mm2;额定电流4000A以上的管型母线长期允许载流量 52.12A/mm2; c}母线与母线中间连接部位额定电流温升≤导体温升 d)母线端头连接部位额定电流温升≤导体温升 5.4绝缘管型母线的过载允许温度和允许时间 负载电流超过额定电流,管型母线导体的最高允许温度不宜超过150℃C。时间<5h 5.5绝缘管型母线的允许短路电流 系统短路时绝缘管型母线的允许短路电流可按下列公式计算
 公式中: A一绝缘管型母线导体的截面,mm2 C一绝缘管型母线导体的热容系数,焦/厘米3℃(铜导体3.5,旧导体2.48) K-20℃的导体交流电阻与直流电阻之比 t--短路时间(秒) α—导体电阻系数的温度剂数,I/℃;(铜导体000393.铝导体0.004) θs一短路时导体或接头的允许温度,℃C θ0一短路前导体或接头的运行温度,℃ p20--20℃时导体的电阻系数,欧·毫米2/米:(铜导体0.0184,导体0.031), 5.6安装要求 5.6.1绝缘管型母线采用明數,用管型母线专用支架支撑 5.6.2绝管型母线敷架,间距>=275mm。路距6m-13m要求安装固定支。 5.7按表2规定的电压试验,不闪络。不击穿。 表2绝缘管型母线额定地缘水平 额定电压 (KV) | 1min工频 耐压水平 (KV) | 正负极性各10 次冲击耐压水平 (KV) | 局部放电水平不大于 (pc) | 15min负极性直流试验电压 (KV) | 4h工瓶试验电压 (KV)
| 6 | 24 | 75 | 9kv<=20pc | 37 | 20 | 10 | 42 | 105 | 13kv<=20pc | 52 | 35 | 35 | 105 | 250 | 39kv<=20pc
| 125 | 87 | 注:负荷循环试验后的局部放电水平应<=20pc,负荷循环试验3个周期:5h加热,3h冷却,加热时,导体温度为95℃,同时施加工频22kv。 |
5.8温升:通表1规定的额定电流时,温升不大于65K 5.9工频击穿电压: a)额定电压为6kv的绝缘管型母线的工频击穿电压应不小于30kV b)额定电压为10kw的绝缘管型母线的工频击穿电压应不小于45kV: c)额定电压为35kv的绝缘管型母线的工频击穿电压应不小于110kV 5.10外观 绝缘管型母线应表面光洁无伤痕。 5.11绝缘管型母线绝缘电阻>10000MΩ/10m 6试验方法 6.1型式验试品 将绝缘管型母线组件安装在标称截面相对应的雪型母线上,方组成试验品,试品两个终端头之间的管型母线长度应不小于10m,试验品应包括2个终菌头和1个中间接头. 6.2外观用手感目测检查 6.3绝缘管型母线绝缘电阻用2500V兆欧表测定。 6.4其他试验方法按GB/T127064-2008及GB/T1B8892002. 7检验规则 7.1产品分型式测验,出厂检验。现场交接测验、预防性试验规程. 7.2型式测验在下列情况之一时进行 a)新产品试制。老产品转产时 b)当产品的设计,生产工艺、材料有重大变化时; c)正常生产的产品每一年至少进行一次 d)停产一年以上再生产时 e)国家质量监督机构提出要求时 7.2.2型式检验按6.1的规定制作试品,检验项目为: a}工频耐压试验 b)局部放电试验 c)负荷循环试验3个周期 d)负荷循环试验后的局部放电 e)冲击耐压试验1.2/50μs正负极性各10次 f}负极性直流电压试验 g)4h工电压试验 h)温升试验 1)动稳定试验 j热稳定试验 k)工频击穿电压试验。 7.3出厂检验 7.3.1产品经出厂检验合格后方能出厂,井应附产品质量合格证明. 7.3.2出厂检验项目按表3 表3屏蔽绝缘管型母线出厂试验要求
序号 | 实验项目 | 要求 | 试验方法 | 1 | 外观检查 | 表面光洁无伤痕 |
| 2 | 绝缘电阻测量 | 一般>10000MΩ/10m | 用2500v兆欧表 | 3 | 工频耐压试验
| 按表5要求,1min不闪络,不击穿 | 按IEC60060-1,IEC61442第4章
|
|