欢迎光临扬州市泽天电器有限公司官网!

咨询热线: 13705255804

联系我们

  1. 联系人:昌文军
  2. 手机:13705255804
  3. QQ:1650039830
  4. 邮箱: 1650039830@qq.com
  5. 地址:扬州市宝应县柳堡镇创业路北106号
绝缘管母线

绝缘管母线

描述:
  • 联系人:昌文军
  • 联系电话:13705255804
  • 公司地址:扬州市宝应县柳堡镇创业路北106号
立即咨询

详细说明:


绝缘管母线

5kV及以下绝缘管型母线技术标准
1、范围
本标准规定了额定电压35kV及以下绝缘管型母的定义。产品分类,技术要求,试验方法、检检规则标志,包装。运输、贮存
本标准适用于圈定电压为35k以下等电压等级的地缘营母线
2、规范性引用文件
下列文件中的条款通过本标准的引用而成为本标准的条款。凡是注日的引用文件,其随后所有的修改单(不包括题误的内容)或修订版均不遇用于本标准,然而。鼓励根据本标准达成协的各方研究是否可使用这些文件的最新版本。凡是不注日期的引用文件。其最新版本适用于本标准
GB/T191包装储运图示标志
GB/T12706,4-2008颐定电压 1kv(Un=1.2kv)到35kV(Um=40.5kv)挤包绝缘电力电及时件:第4部分:定电压6k(Um=72k)到35kV(Um=40skv):电力电缆附件试验要求GB/T18889-2002顆定电压6k(Um=7.2kV)到35kv(Um=40.5kV)电力电缆附件试验方法
3、定叉
以下定义造用于本标准
3.1缘管母线
用聚薄膜统包井加屏蔽层的绝缘管母线包括母线的中闻头和终端头
3.2绝缘管母线中间接头
安装在母纬间,以保证两根母线的电气连接。
3.3绝缘管母线终端头
安装在缘母线起始端,以保证博母线与系纯的部分电气连报。
3.4绝缘管母线伸缩节
安装在绝缘母线起始端,以保证管母线与系统的部分电气连接,
3.5绝缘管母线托架,支撑固定母线用

4.3 DTGMB绝缘管母线断面荜构图见图
型号: DTGME口/口
适应安装坏境:架空
5技术要求
5.1使用条件
5.1.1正常运行条件
a)环填温度-40℃-+45℃
b)最大日温差25℃
c)最大相对温度(最是月平均值,环境温度为+20):90%
d)海拔高度:<1000m
e)地震强度水平分量:0.25g:垂直分量:0.125g:频率:置动率20HZ耐受时间为正弦波:3周波;安全系数:大于167:上述水平分量按动态条件进行设计和试验,产晶保证在地震和短路同时怍用下正常运行.
f)等级》Ⅳ级
9}屏酝地缘母线的附件长期工作温度。过载温度和允许短路电流温度,应满足第5.3和5.4条的要求
5.1.2异常运行条件
在以下异常运行条件,本标准的使用需经供需双方协商:
最高空气温度低于40%℃,成高于+50℃
海高度过1000m:
长期运行在烈振动,污秽严重地区
5.2管型母线的热稳定和动稳定电流应符合表1的规定
1培缘管型母线应承受热稳定和动稳定电流

额定电流(A)

1250

2000

2500

3150

4000

5000

6300

8000

10000

12500

15000

20000

25000

3000

35000

40000

4秒钟热稳定电流有效值(KA)

40

63

80

100

动稳定电流峰值(KA

100

158

200

250

:管型母线跨距有效距离为6m-13m,5000A以下相间中心距离2275mm

5.3绝缘型母线的截面要求
正常运行时绝缘管型母线的允许温度和载流量:
a)绝缘管型母线导体和长期允许工作温度不应超过90
b)绝缘管型母线正常运行时的长期允许载流量,应根据绝缘管型母线导体的工作温度,绝缘管型母线各部分的损耗和热阻,环境温度以及散热条件等加以计算确定。建义绝缘管型母线允许长期载流量:额定电流3150A以下的管型母线长期允许载流≤2.68A/mm2;定电流4000A以上的管型母线长期允许载流量
52.12A/mm2;
c}母线与母线中间连接部位额定电流温升≤导体温升
d)母线端头连接部位额定电流温升≤导体温升
5.4绝管型母线的过载允许温度和允许时间
载电流超过额定电流,管型母线导体的最高允许温度不宜超过150℃C。时间<5h
5.5绝管型母线的允许短路电流
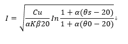
系统短路时绝缘管型母线的允许短路电流可按下列公式计算
1.png

A一绝管型线导体的截面,mm2
C一绝管型母线导体的热容系数,焦/厘米3℃(导体3.5,旧导体2.48)
K-20℃的导体交流电阻与直流电阻之比
t--短路时间(秒)
α—导体电阻系数的温度剂数,I/℃;(铜导体000393.铝导体0.004)
θs一导体或接头的允许温度,℃C
θ0一路前导体或接头的运行温度,℃
p20--20℃时导体的电系数,欧·毫米2/:(铜导体0.0184,导体0.031),
5.6安装要求
5.6.1绝缘管型母线采用明數,用管母线专用支架支撑
5.6.2管型母线敷架,间距>=275mm。路距6m-13m要求安装固定支。
5.7按表2规定的电压试验,不闪络不击穿。
2绝缘管型母线额定地缘水平

定电压

(KV

1min工

耐压水平

(KV

正负极性各10

次冲击耐压水平

(KV)

局部放电水平不大于

pc

15min负极性直流试验电压

(KV

4h工试验电压

(KV

6

24

75

9kv<=20pc

37

20

10

42

105

13kv20pc

52

35

35

105

250

39kv<=20pc

125

87

注:负荷循环试验后的局部放电水平应<=20pc,负荷循环试验3个周期:5h加热,3h冷却,加热时,导体温度为95℃,同时施加工22kv


5.8温升:通表1规定的额定电流时,温升不大于65K
5.9工频击穿电压:
a)额定电压为6kv的绝缘管型母线的工击穿电压应不小于30kV
b)额定电压为10kw的绝缘管型母线的工频击穿电压应不小于45kV:
c)额定电压为35kv的绝缘管型母线的工频击穿电压应不小于110kV
5.10外
绝缘管型母线应表面光洁无伤痕
5.11绝缘管型母线绝缘电阻>10000MΩ/10m
6试验方
6.1型式验试品
将绝缘管型母线组件安装在标称截面相对应的雪型母线上,方组成试验品,试品两个终端头之间的管型母线长度应不小于10m,试验品应包括2个终菌头和1个中间接头.
6.2外观用手感目测检查
6.3绝缘管型母线绝缘电阻用2500V兆欧表测定。
6.4其他试验方法按GB/T127064-2008及GB/T1B8892002.
7检验规则
7.1产品分型式测验,出厂检验。现场交接测验、预防性试验规程.
7.2型式测验在下列情况之一时进行
a)新产品试制。老产品转产时
b)当产品的设计,生产工艺、材料有重大变化时;
c)正常生产的产品每一年至少进行一次
d)停产一年以上再生产时
e)国家质量监督机构提出要求时
7.2.2型式检验按6.1的规定制作试品,检验项目为:
a}工频耐压试验
b)局部放电试验
c)负荷循环试验3个周期
d)负荷循环试验后的局部放电
e)冲击耐压试验1.2/50μs正负极性各10次
f}负极性直流电压试验
g)4h工电压试验
h)温升试验
1)动稳定试验
j热稳定试验
k)工频击穿电压试验。
7.3出厂检验
7.3.1产品经出厂检验合格后方能出厂,井应附产品质量合格证明.
7.3.2出厂检验项目按表3
3屏蔽绝缘管型母线出厂试验要求

序号

验项目

要求

试验方法

1

外观检查

表面光洁无伤痕


2

缘电阻测量

一般>10000MΩ/10m

用2500v兆欧表

3

工频耐压试验

按表5要求,1min不闪络,不击穿

IEC60060-1,IEC61442第4



服务热线

13705255804

功能和特性

价格和优惠

微信公众号